Hold down the T key for 3 seconds to activate the audio accessibility mode, at which point you can click the K key to pause and resume audio. Useful for the Check Your Understanding and See Answers.
Another Perspective on Work
How do you get an object to move? You exert a force on it over some displacement. In other words, you do work on the object to give it kinetic energy. This was an important idea back in Lesson 1 of our chapter on Work, Energy, and Power.
How do you get an object to rotate? You exert a torque over some angular displacement. We already know that torque is the rotational counterpart to force, and that angular displacement is the rotational counterpart to displacement. And so, as you might expect, when you exert a torque over some angular displacement, you are also doing work…and doing work is how we give something kinetic energy.
Be it exerting a force over some linear displacement or exerting a torque over some angular displacement, work is being done. Physicists often generalize the effect of doing work through the work-energy theorem, which states that the net work done on an object is equal to the object’s change in kinetic energy.

We say 'net work' because it could be that there are two forces (or two torques) that add together or partially cancel each other. The net result of adding up all the work done on an object by all the forces (or torques) tells us by how much the object's kinetic energy has changed. If the net work is a positive value, the kinetic energy increases. If the net work is negative, the kinetic energy decreases by that amount.
We should note that when we introduced work in a previous chapter, we wrote W = F·d·Cos(θ), in case the force and displacement are not in the same direction. While the same idea applies to torque and angular displacement, we'll limit our examples for rotational motion to situations where the direction of the torque is the same (or exactly opposite) as the direction of the angular displacement.
It is also important to point out that work is work, just like kinetic energy is kinetic energy. Whether a force is exerted over a displacement or a torque over an angular displacement, work has been done. Whether that work results in translational kinetic energy or rotational kinetic energy doesn’t really matter since kinetic energy is any energy of motion. The reason we have the two equations for work (one translational and one rotational) and two equations for kinetic energy (one translational and one rotational) is simply because some things move in straight lines and other things rotate. The point is that any net work done on an object changes its kinetic energy.
Let’s tackle a couple of example problems together to see how this 'works'!
Example 1: Working at it
Problem: Shootsum Hoops was working on spinning a basketball on her finger. She knows she needs to get the ball rotating with an angular velocity of 25 rad/s to do so. To get the ball spinning, she exerted a 20 N·m torque over an angular displacement of 3 radians.
(A) How much work did Shootsum do on the basketball?
(B) How much kinetic energy did the ball gain?
(C) If the moment of inertia of the ball is 0.16 kg·m2, is this enough for Shootsum to spin the ball on her finger?
Solution: (a) We can calculate the work done using W = τ·∆θ = (20 N·m)·(3 rad) = 60 Joules. (b) Since the work done equals the kinetic energy gained, the ball has 60 Joules of kinetic energy. (c) Solving KE = ½ I ω2 for ω, we get ω = 27 rad/s. This is enough for Shootsum.

Example 2: The Carousel Engineer
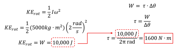
Problem: You’ve been tasked with finding the correct motor to get an amusement park carousel ride spinning. When operating, the carousel (which has a moment of inertia of 5000 kg·m2) rotates with an angular velocity of 2 rad/s. If the motor needs to get the carousel up to speed by exerting a torque over one complete rotation, what torque will the motor need to provide? Any frictional torques are negligible.
Solution: Let’s begin by finding the rotational kinetic energy of the carousel when it is operating. We find KE = 10,000 J. Since the work done by the motor equals the kinetic energy gained, this is also the work done. Finally, since W = τ·∆θ, and since one complete rotation is 2π radians, we can solve for the torque to find τ = 1600 N·m.

Now is your chance to check your understanding by trying some of these on your own. You’ll get 'em all if you work at it.
Check Your Understanding
Use the following questions to assess your understanding. Tap the Check Answer buttons when ready.
1: Complete the following statements using less than, equal to, or greater than.
(A) The net work done on an object is _____________ its gain in kinetic energy.
(B) If a frictional torque opposes the applied torque, the net work will be ________ what it would be without friction.
(C) If net work is done on an object at rest, its kinetic energy will be ____________ zero.
2: For each situation, determine if the work done by the force on the spinning disk is positive or negative (Counterclockwise being positive).

3: A potter’s wheel (moment of inertia = 4.0 kg·m2) is spinning with an angular velocity of 8.0 rad/s in the counterclockwise direction. When turned off, friction applies a clockwise torque and stops the wheel in 6.0 s.
(A) What is the initial kinetic energy of the wheel?
(B) How much work must be done by friction to stop the wheel?
(C) Through what angle does the wheel continue to spin from the moment it was turned off?
(D) How large is the frictional torque?
4: An electric motor can accelerate a Ferris wheel (moment of inertia = 19,500 kg·m2) from rest to 1.0 rad/s in 9.0 s. Assuming frictional torques are negligible, determine...
(A) the work done by the motor in bringing the ride up to speed.
(B) the angular displacement through which ride turned in getting up to speed.
(C) the magnitude of the torque provided by the motor.
Figure 1 Person Pushing icon in picture borrowed from Wikimedia Commons https://commons.wikimedia.org/wiki/File:Push_the_Envelope_-_The_Noun_Project.svg
Figure 2 Image generated using some MS Word Iconography.
Figure 3 Borrowed from Wikimedia Commons (From Delapouite) https://commons.wikimedia.org/wiki/File:Carousel_-_Delapouite_-_game-icons.svg under license Creative Commons
Figure 4 Borrowed from Wikimedia Commons https://commons.wikimedia.org/wiki/File:Ferries_wheel_icon.svg