Hold down the T key for 3 seconds to activate the audio accessibility mode, at which point you can click the K key to pause and resume audio. Useful for the Check Your Understanding and See Answers.
Conservation of Mass in Moving Fluids
If you’ve ever used a sprayer with small holes at the end of a hose, you probably know that this increases the speed at which water comes out. Firefighters are well aware of this, as they need to spray water at very high speeds to control a fire from a considerable distance away. And while all firefighters have experienced this, not all can explain why using such a nozzle with small holes increases the water’s speed. Could you explain why this is the case? Unpacking the physics behind this phenomenon is what this section is all about!
Imagine, for a minute, water flowing through the firefighter’s hose. Since water is incompressible (that is, its density doesn’t change when put under pressure), the rate at which water flows through any upstream section (such as through Area 1) of the hose must be the same as the rate at which it flows through a downstream section (Area 2). In other words, if 2 kg of water passes through Area 1 each second, then 2 kg of water must pass through Area 2 each second as well. This is really just a statement of the law of conservation of mass.

To unpack this just a bit more, let’s consider the figure below:

Imagine the mass (Δm) of water that travels through Area 1 in time Δt. If the water is traveling with a speed v and the cross-sectional area of the hose is A, then this water would have traveled a distance v Δt. The volume of water that flowed through Area 1 in time Δt, then, is the cross-sectional area times the distance it has traveled, V = A • v Δt. This is because the volume of a cylinder is just the area of the end times its length. We recall from our density equation back in Lesson 1 that mass = density • volume (m = ρ • V). Applying this here, we can write the mass of this small amount of water that passes through Area 1 in Δt as Δm = ρ • A • v Δt. Or, dividing both sides by Δt, we can say that the flow rate is given by Δm/Δt = ρ • A • v. We see that Area 2 experiences the same flow rate since the density of the water doesn’t change, the cross-sectional area of the hose is the same, and the water is traveling with the same speed.
Example 1: Filling Your Car's Gas Tank
Problem: At the gas station, the gas pump sends gasoline to your car’s gas tank at a rate of 6.0 x 10-2 kg/s. The density of gasoline is 735 kg/m3, and the inner diameter of the hose is 1.5 cm. At what speed does the gas travel through the hose to your car?
Solution: We’ll begin by finding the cross-sectional area of the hose. Since the inner diameter of the hose is 1.5 cm, we find that the radius is 0.75 cm or 0.0075 m. Thus, the cross-sectional area is 1.8 x 10-4 m2. Using the flow rate equation, we can solve for the speed v and find it to be 0.45 m/s.

Equation of Continuity
Where things get more interesting is when the diameter changes at different points along a hose. Let’s consider, for example, a hose that is thicker at the beginning and then narrows further down. In order to still conserve mass, the flow rate through any two sections in the hose—even if different diameters—must still be the same.

You might be wondering, “How can you have the same flow rate but have different cross-sectional areas through which the water travels?” There is only one way to accomplish this—the water travels faster through the section that has a smaller cross-section.

We observe that the flow rate through the large-diameter part of the hose (the part with area A1) is equal to the flow rate through the small-diameter part of the hose (the part with area A2). Since it’s the same water flowing through both parts of the hose (and since our fluid is incompressible), the density of the water cancels from each side of the equation. Thus, as the cross-sectional area of the hose decreases, the speed at which the water flows must increase. This relationship is known as the equation of continuity.
The equation of continuity expresses the principle of conservation of mass for fluids in motion. Physically, the equation of continuity helps explain why pinching the hose makes the water squirt faster. It explains why firefighters use a nozzle with small holes at the end of the hose to shoot out water at a much higher speed.
There are countless applications of this principle in everyday life. Let’s look at two such applications below. You’ll then have a chance to check your own understanding in the questions that follow.
Example 2: Plaque Buildup in Arteries
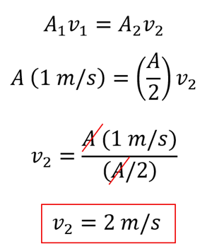
Problem: Atherosclerosis is the buildup of fats and cholesterol on the walls of arteries. Assume blood flows through a healthy (unclogged) artery in the heart at 1 m/s. If one part of that artery has buildup so that half the artery is blocked, how fast does the blood flow through that part compared to the unclogged portion?
Solution: Twice as fast. We can verify this using the equation of continuity. If the healthy (unclogged) portion of the artery has a cross-sectional area A and the blood travels through it at a speed of 1 m/s, then the blood traveling through the portion with half the area must be traveling at 2 m/s.

While blood flowing through arteries at high speeds during intense exercise is managed by the body, consistently fast blood flow due to narrow arteries can be dangerous, especially when it becomes turbulent. This increases the risk of a heart attack or stroke.
Example 3: Water from a Garden Hose
Problem: A garden hose has a diameter of 3.00 cm. You can fill a bucket (Vbucket = 8.50 x 10-3 m3) in 25.0 seconds. Find the speed of the water that leaves the hose when you...
(a) do not put your thumb over the opening
(b) you place your thumb over the opening to reduce the opening to one-fourth the area.
(c) Does placing your thumb over the end of the hose fill the bucket faster? Why or why not?

Solution:
(a) Let’s start by finding the cross-sectional area of the hose. Since the diameter is 3.00 cm, the radius is 1.50 cm or 0.0150 m. Then, to find the speed of the water leaving the hose, we can consider the distance the water travels through the hose in a certain amount of time. Since the volume of water flowing divided by the cross-sectional area is the distance this water has traveled, we can now divide this distance by the time to find the speed. Since all the water that filled the bucket must have gone through the end of the hose in 25.0 seconds, let’s divide our distance by this specific amount of time. We find that the speed of the water traveling throughout the hose is 0.48 m/s.
(b) Using the equation of continuity, we find that the water with the thumb blocking much of the opening will travel at 1.92 m/s, which is four times the original speed.
(c) Some might think that when the water is spraying out at four times the speed, it must fill the bucket quicker. However, the equation of continuity is based on the fact that the flow rate of water entering the hose is the same as that leaving the hose. This is true whether or not your thumb is placed over the opening. With the thumb in place, it is true that the water leaving the hose is traveling four times faster than it enters; it is also true, however, that the area through which it passes is one-fourth as much. Thus, the flow rate is the same in both cases. The bucket will be filled in the same amount of time whether or not you put your thumb over the end.

Check Your Understanding
Use the following questions to assess your understanding. Tap the Check Answer buttons when ready.
1. Water leaves a hose with a speed of 1 m/s. If your thumb is placed over a portion of the end of the hose, which of the following will occur?
- The flow rate will decrease significantly
- The flow rate will increase significantly
- The water will come out slower than 1 m/s
- The water will come out faster than 1 m/s
2. Which area represents the cross-sectional area of this hose?
- surface area of the side of the hose
- area of the circle on the end of the hose

3. An outdoor faucet has a flow rate of 0.5 kg/s. You decide to attach a divider to the faucet in order to run two hoses at once. Which of the following occurs?
- The flow rate through each hose is 0.5 kg/s since the flow rate through the faucet is now 1.0 kg/s.
- The flow rate through each hose is 0.25 kg/s since the flow rate through the faucet is still 0.5 kg/s.
4. Calculate the flow rate (in kg/sec) of water (ρ = 1000 kg/m3) traveling at a speed of 4.0 m/s through a round pipe of radius 2.0 cm.
5. One section of a large pipe carries water at a speed of 1 m/s to a home. The next section of pipe is half the radius of the first. What is the speed of the water in the narrower section of pipe?
6. Water (ρ = 1000 kg/m3) travels through Pipe 1 at a rate of 2000 kg/s. The pipe has 3 cross sectional areas, 1m2 for pipe 1, 0.2 m2 for pipe 2, and 5 m2 for pipe 3.
(A) How fast (in m/s) is it traveling in Pipe 1?
(B) How fast is it traveling in Pipe 2?
(C) How fast is it traveling in Pipe 3?
(D) What is the flow rate through Pipe 3?
We Would Like to Suggest ...

Why just read about it and when you could be interacting with it? Interact - that's exactly what you do when you use one of The Physics Classroom's Interactives. We would like to suggest that you combine the reading of this page with the use of our
Continuity Equation Interactive. You can find it in the Interactives section of our website.
Figure 1 Borrowed from Wikimedia Commons https://commons.wikimedia.org/wiki/File:U_S_Marine_Corps_firefighters_train_with_Norwegian_Firefighters_(7112549).jpg
Figure 2 Borrowed from Wikimedia Commons https://commons.wikimedia.org/wiki/File:Pumping_gas_by_hand.JPG
Figure 3 Borrowed from Wikimedia Commons https://commons.wikimedia.org/wiki/File:Atherosclerosis_diagram.png