Hold down the T key for 3 seconds to activate the audio accessibility mode, at which point you can click the K key to pause and resume audio. Useful for the Check Your Understanding and See Answers.
Bernoulli's Equation
In the previous section, we explored the equation of continuity. This idea, which comes from the conservation of mass, states that as a pipe narrows, the speed of the fluid passing through the pipe increases. The picture to the below shows the narrowing of streamlines, imaginary lines that show the direction of the fluid's velocity at any given instant. When streamlines are closer together, the speed of the fluid is greater. Since ideal fluids are incompressible, the density of the fluid does not change. Thus, streamlines that are closer together require that the fluid must be traveling faster.

In Lesson 2, we also explored the idea that the pressure in a fluid changes with height. The portion of the fluid that is at a lower height experiences greater pressure since there is the weight of the fluid above pushing down on it.
As fluids move through pipes of varying cross-sectional areas and different heights, the fluid pressure changes. In the 1700’s, this idea was investigated by a Swiss physicist named Daniel Bernoulli. He developed an equation—known as Bernoulli’s equation—that describes that the energy of the fluid along a streamline path stays constant. We’ll see that his equation is really just a statement of the conservation of energy applied to ideal fluids. In this section, we’ll derive Bernoulli’s equation and explore its significance in describing how moving fluids behave.
As we begin to derive Bernoulli’s equation, it is important that we revise some assumptions that characterize ideal fluids. We’ve assumed that ideal fluids are incompressible, non-viscous, not turbulent, and flow in a steady manner. With these assumptions in hand, consider a fluid moving through a pipe like the one shown below. Note that this pipe not only changes in its cross-sectional area, but it also changes in height.

Imagine that the fluid shown here is pushed from left to right through this interestingly-shaped pipe. In some time Δt, a small amount of this fluid will pass through area A1 and travel a distance Δx1. This amount of fluid is shown as the imaginary green cylinder. This portion of the fluid was pushed to the right with force F1. From Lesson 2, we recall that force = pressure • area. Thus, we can express this force on the fluid as F1 = P1 A1, where P1 is the fluid pressure in the lower portion of this pipe and A1 is the pipe’s cross-section area. Since this force moves this portion of the fluid to the right through a distance Δx1, the work done on this portion of the fluid by the fluid behind it is:
W1 = F1 · Δx1 = P1 · A1 · Δx1 = P1 · V
where V is the volume of this portion of fluid shown in green. Similarly, we can determine the work done on the portion of fluid shown in the upper part of the pipe (the part shown in red) by the fluid pressure that is pushing this part of the fluid to the left.
W2 = F2 · Δx2 = - P2 · A2 · Δx2 = - P2 · V
We learned in the previous section of this lesson that, because of the equation of continuity, the volume of the fluid passing through A1 must be the same as the volume of the fluid passing through A2 in the same time Δt. This is why we do not need to include subscripts on V; they are the same volume.
Note also that here we made the work negative. We can imagine the upper portion of this fluid being pushed to the left (opposite the displacement) due to the fluid pressure in the upper part of the pipe. In reality, these two segments--the green and red segments shown--are part of the same continuous fluid. Thus, we can image F1 being on the force on the left end of this fluid and F2 being the force on the right end of this same fluid. As a result, the net work done by these external (non-conservative) forcese in time Δt is
Wext = P1 · V - P2 · V (Equation 1)
What does this net external work do? Some of this work goes into changing the fluid’s kinetic energy (KE) and some goes into changing its gravitational potential energy (PE).
If m is the mass of the fluid that passes through the pipe in time Δt, then we can write the change in kinetic energy and the change in the potential energy of this portion of the fluid like this:
ΔKE = ½ m · v22 - ½ m · v12 (Equation 2)
ΔPE = m · g · y2 – m · g · y1 (Equation 3)
Since the net work done on the fluid goes into changing both the fluid’s kinetic energy and potential energy, that is, Wext = ΔKE + ΔPE, we can substitute in Equations 1, 2, and 3 above into this expression.
Wext = ΔKE + ΔPE
P1 V - P2 V = ½ m v22 - ½ m v12 + m g y2 – m g y1
Physicists often divide each term in this equation by V, the volume of this portion of the fluid. Recalling from our density equation that ρ = m / V, we can write

Putting the terms that refer to the left side of the pipe on one side and the terms that refer to the right side of the pipe on the other, we rearrange this equation into the common form of Bernoulli’s equation:

The significance of this equation is that the sum of the pressure (P), the kinetic energy per volume (1/2 ρ v2), and potential energy per volume (ρ g y) has the same value at every point along a streamline.
Example 1: Comparing Pressure
Problem: A fluid flows from left to right in the pipe shown below. Rank the fluid pressures at the three locations from highest pressure to lowest pressure.

Solution: From the equation of continuity, we know that the speed of the fluid is greatest where the pipe is most narrow. Therefore, the kinetic energy per volume (1/2 m v2) of the fluid is smallest at Point 1 and greatest at Point 3. We also see that the potential energy per volume is smallest at Point 1 (m g y) because this is where the fluid along our streamline is at the lowest height. It follows that Point 3 is the place where the potential energy per volume is greatest. According to Bernoulli’s equation, the sum of the pressure, the kinetic energy per volume, and potential energy per volume have the same value at every point along a streamline. Since Point 1 has the smallest KE per volume and the smallest PE per volume, it must be the place where the pressure is the greatest (if P + 1/2 ρ v2 + ρ g y is the same value, a smaller v and smaller y will mean the P must have a higher value to get the same constant) . Since Point 3 has the greatest KE per volume and the greatest PE per volume, it must be the place where the pressure is the smallest. Thus, the fluid pressure ranking is 1 > 2 > 3.

Example 2: Calculations Using Bernoulli's Equation
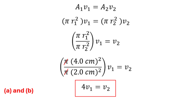
Problem: Water (ρ = 1000 kg/m3) flows from left to right through the pipe shown below. At the point shown in the lower region, the pressure is recorded to be 2.0 x 105 Pa. At the point shown in the upper region, the pressure is recorded as 1.4 x 105 Pa. The radius of the pipe in the lower region is 4.0 cm and the upper region is 2.0 cm. The point in the upper region is 1.5 m above the point in the lower region.

(A) In which region (upper or lower) is the water moving with the greatest speed?
(B) How much faster is the water traveling in the faster region compared to the slower region?
(C) Find the speed of the water in the lower region.
(D) Find the speed of the water in the upper region.
Solution:
(A) and (B) We use the equation of continuity to determine that the water is traveling faster in the upper region since the pipe is narrower. In fact, the water travels four times faster in the upper region (region 2) compared to the lower region (region 1).

(C) To find the actual speed that the water travels at in each region, we’ll use Bernoulli’s equation (setting y1 to be 0, and Y2 to be 1.5 meters). We find that the speed of the water in the lower region (region 1) is 2.46 m/s.

(D) Using the result above that the speed in the upper region is four times this value, we find that the speed in the upper region is 9.83 m/s.
Bernoulli’s equation above allows us to calculate values such as the speed of the water flowing through a pipe in different regions. Bernoulli’s Principle is a qualitative way of describing what Bernoulli’s equation does mathematically. Bernoulli’s principle states that for ideal fluids (like water in the example above), as the speed of the fluid increases, its pressure decreases due to the conservation of energy. The Bernoulli principle applies to a host of different situations—not just a fluid moving through a pipe. We’ll explore several of these in Applications of Fluid Dynamics.

Venturi Effect
The Venturi Effect is the special case of the broader Bernoulli's principle that we have explored above. Bernoulli's principle describes the inverse relationship between fluid speed and pressure (faster speed leads to lower pressure) as a general law of energy conservation. As we’ll see later in this lesson, Bernoulli’s principle explains all kinds of phenomena—such as why airplanes experience lift and why curveballs curve. The Venturi effect, however, specifically applies Bernoulli’s principle to a fluid flowing through a constricted pipe (a Venturi tube). The Venturi effect considers how the narrowing of the pipe leads to a greater fluid speed which results in a drop in pressure. The Venturi tube is a device that can be used to measure the speed of a fluid in a pipe using pressure measurements. Consider, for example, the Venturi tube shown below.
Notice that the point shown in Region 1 and the point shown in Region 2 are along the same streamline. Because this streamline is horizontal (y1 = y2), Bernoulli’s equation can be simplified to:

We know from the equation of continuity that the speed of the fluid is Region 2 is greater than in Region 1. From the simplified Bernoulli’s equation shown here, we see that this means that the pressure in this region must decrease. The Venturi tube allows the experimenter the ability to measure the pressure drop in Region 2 and, as a result, determine the value of the fluid speed and the flow rate.
In the previous section, we calculated the mass flow rate, the mass of the fluid that passes through an area of the pipe in a given time. We’ve used the symbol Δm/Δt to represent the mass flow rate. Sometimes, however, it is useful to determine the volume flow rate. Volume flow rate is just the volume of the fluid that passes through an area of the pipe in a given time. We’ll use the symbol ΔV/Δt to represent the volume flow rate. Both mass flow rate and volume flow rate are related by the density of the fluid. Here is a side-by-side comparison of each.

Example 3: Measuring Flow Rate
Problem: A Venturi tube like the one shown here is used to measure the flow rate of gasoline (ρ = 735 kg/m3) at a gas station. The pressure difference between the inlet and outlet tubes is 1150 Pa. The radii of the inlet and outlet tubes are 2.8 cm and 1.4 cm respectively.
(A) Determine the ratio of flow speed of the gasoline through the inlet tube compared to the outlet tube.
(B) What is the speed of the gasoline as it travels through and leaves the outlet tube?
(C) What is the volume flow rate (in m3/sec) of the gasoline?

Solution:
(A) Using the equation of continuity, we find that the gasoline travels one-fourth as fast through the inlet tube compared to the outlet tube. In other words, vin = ¼ vout (or inversly, vout = 4 vin)

(B) Using the simplified version of Bernoulli’s equation, we find that the speed of the gasoline leaving the outlet hose is 1.83 m/s.

(c) To find the volume flow rate in m3/sec, we’ll simply multiply the cross-sectional area by the fluid speed (ΔV/Δt = A v). Doing so, we find the volume flow rate to be 1.1 x 10-3 m3/sec.

It is important to note that the volume flow rate is the same throughout both the inlet and outlet sections. This is the basis for the equation of continuity which follows from the conservation of mass.
Check Your Understanding
Use the following questions to assess your understanding. Tap the Check Answer buttons when ready.
1. Fluid pressure is greater in region _______ (1, 2) since the streamlines are _______________ (closer together, further apart).

2. Imagine that air bubbles move within water that flows from Region 1 to Region 2. Which figure (a or b) correctly shows how the size of these air bubbles would change?

3. A fluid flows from left to right in the pipe shown below. Rank the pressures at the three locations from highest pressure to lowest pressure.

4. Water (ρ = 1000 kg/m3) flows from left to right through the pipe system shown. At Point 1, the pressure is recorded as 1.80 x 105 Pa. At Point 2, the pressure is recorded as 2.00 x 105 Pa. The radius of the pipe in Point 1 is 3.0 cm and at Point 2 is 2.0 cm. Point 1 is located 3.70 m above Point 2. Determine the speed at which the water is traveling at both Point 1 and Point 2.

5. Isopropyl alcohol (ρ = 785 kg/m3) travels from left to right through the Venturi tube shown below. The pressure is measured at the center of two locations. The cross-sectional areas of the left and right parts of the tube are A1 = 0.0070 m2 and A2 = 0.0020 m2 respectively. Determine the speed at which the fluid travels in both the left and right sections.

We Would Like to Suggest ...

Why just read about it and when you could be interacting with it? Interact - that's exactly what you do when you use one of The Physics Classroom's Interactives. We would like to suggest that you combine the reading of this page with the use of our
Bernoulli’s Equation Interactive and the
Venturi Equation Interactive. You can find it in the Physics Interactives section of our website.
Figure 1 Modified from Wikimedia Commons https://commons.wikimedia.org/wiki/File:Venturifixed2.PNG